Mais de sete mil táxis devem passar pela fiscalização no Vale dos Barris.
O atendimento é feito de segunda a sexta-feira, das 7h30 às 11h30, e das 13h às 16h30. O valor da inspeção é de R$ 81,79, e aquele que não apresentar o veículo na data marcada pagará multa de R$ 32,95.
No ato da vistoria, os autorizatários devem apresentar certificado da última aferição, cartão de identificação, selo GNV, pagamento da contribuição sindical, licenciamento atualizado e licença de veiculação do Engenho de Publicidade em Táxi.
Os motoristas devem levar ainda documentos pessoais como comprovante de residência, carteira de identidade e de habilitação. A expectativa é que sejam vistoriados, por dia, uma média de 100 veículos.
Os fiscais analisam requisitos de padronização, como as faixas coloridas laterais, estado de conservação do automóvel, pneus e itens de segurança, a exemplo do triângulo, chave de roda e estepe, além da documentação exigida para que o táxi possa circular na cidade.
O Instituto Baiano de Metrologia e Qualidade (Ibametro) também verifica a situação do taxímetro para garantir que o aparelho esteja de acordo com as normas estabelecidas. A fiscalização é feita pela Secretaria de Mobilidade (Semob) e começou na segunda-feira (20).
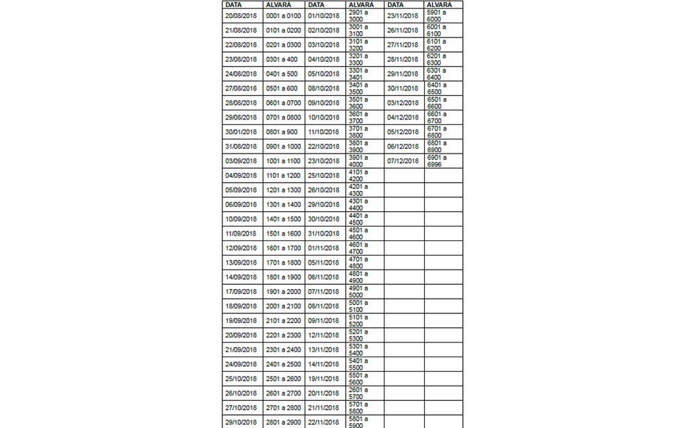
Veja abaixo o cronograma de inspeção de táxi:
/i.s3.glbimg.com/v1/AUTH_59edd422c0c84a879bd37670ae4f538a/internal_photos/bs/2018/b/B/ba1MuLSoaIDANiqPY5EQ/cronograma-taxis.jpg)
Veja acima o cronograma da vistoria de táxis em Salvador (Foto: Divulgação)
*Os táxis especiais COMTAS e COOMETAS serão inspecionados no período de 10 a 14 de dezembro.

